உட்செலுத்தக்கூடிய Sulfobutyl Ether Beta Cyclodextrin என்பது parenteral மருந்து கலவைகளுக்கு ஒரு பிரீமியம் துணைப் பொருளாகும். Xi'an DELI உயிர்வேதியியல் நிலையான தரம் மற்றும் தொழில்நுட்ப ஆதரவுடன் உயர் தூய்மையான SBEβCD ஐ வழங்குகிறது. மாதிரிகள் மற்றும் விரிவான தயாரிப்பு தகவல்களுக்கு இன்று எங்களைத் தொடர்பு கொள்ளவும்.
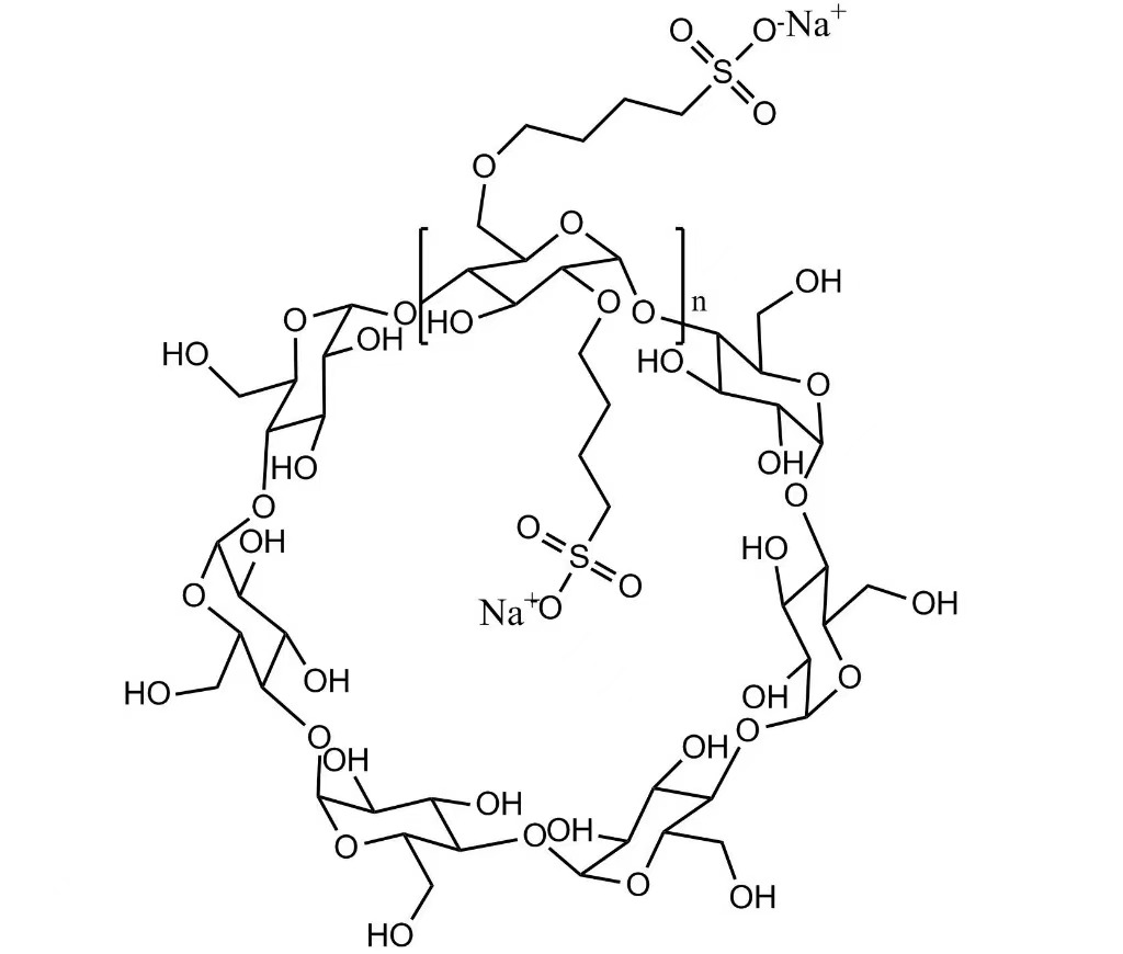
ஊசி போடக்கூடிய Sulfobutyl Ether Beta Cyclodextrin(SBEβCD) என்பது உயர்-தூய்மை, நீரில் கரையக்கூடிய சைக்ளோடெக்ஸ்ட்ரின் வழித்தோன்றலாக வடிவமைக்கப்பட்டுள்ளது.ஊசி மற்றும் parenteral மருந்து சூத்திரங்கள். இது மோசமாக கரையக்கூடிய செயலில் உள்ள மருந்துப் பொருட்களின் (APIகள்) கரைதிறன், நிலைத்தன்மை மற்றும் உயிர் கிடைக்கும் தன்மையை மேம்படுத்துகிறது.
நரம்பு, தசை மற்றும் தோலடி பயன்பாடுகளுக்கு ஏற்றது,SBEβCDமழைப்பொழிவைத் தடுக்கிறது, இரசாயனச் சிதைவைக் குறைக்கிறது மற்றும் கண் தீர்வுகள், நாசி ஸ்ப்ரேக்கள் மற்றும் பிற திரவ கலவைகளில் உணர்திறன் API களை ஆதரிக்கிறது. அதன் சிறந்த நீரில் கரையும் தன்மை, குறைந்த நச்சுத்தன்மை மற்றும் உயிர் இணக்கத்தன்மை ஆகியவை ஆராய்ச்சி, மருத்துவ மேம்பாடு மற்றும் வணிக ஊசி தயாரிப்புகளுக்கு விருப்பமான துணைப் பொருளாக அமைகின்றன.
Xi'an DELI பயோகெமிக்கல் இண்டஸ்ட்ரி கோ., லிமிடெட்., 1999 இல் நிறுவப்பட்டது, SBECD மற்றும் Hydroxypropyl Betadex உள்ளிட்ட சைக்ளோடெக்ஸ்ட்ரின் வழித்தோன்றல்களை தயாரிப்பதில் 26 ஆண்டுகளுக்கும் மேலான அனுபவம் உள்ளது. நிறுவனம் கடுமையான தரக் கட்டுப்பாடு, தொழில்நுட்ப ஆதரவு மற்றும் மருந்து, கால்நடை மற்றும் அழகுசாதன சந்தைகளுக்கு நம்பகமான உலகளாவிய விநியோகத்துடன் நிலையான உயர் தூய்மை தயாரிப்புகளை வழங்குகிறது. பகுப்பாய்வுச் சான்றிதழ்கள் (COA), தொழில்நுட்பத் தரவு மற்றும் மாதிரி மதிப்பீடுகள் ஆகியவை உங்கள் உருவாக்கத்தை மேம்படுத்துவதற்கு உதவுகின்றன.
மாதிரிகள், தொழில்நுட்ப தரவு அல்லது மேற்கோளைக் கோர இன்றே எங்களைத் தொடர்புகொள்ளவும்உட்செலுத்தக்கூடிய Sulfobutyl Ether Beta Cyclodextrin (SBEβCD)மற்றும் உங்கள் உட்செலுத்தக்கூடிய சூத்திரங்களின் கரைதிறன், நிலைத்தன்மை மற்றும் செயல்திறனை மேம்படுத்தவும்.

பெட்டடெக்ஸ் சல்போபியூட்டில் ஈதர் சோடியம் சிஏஎஸ் எண் 182410-00-0
சல்போபியூட்டில் ஈதர் பீட்டா சைக்ளோடெக்ஸ்ட்ரின் சோடியம்
பெட்டடெக்ஸ் சல்போபியூட்டில் ஈதர் சோடியம் ஊசி தரம்
டி.எம்.எஃப் பெட்டடெக்ஸ் சல்போபியூட்டில் ஈதர் சோடியம் யுஎஸ்பி ஈ.பி.
பெட்டடெக்ஸ் சல்போபியூட்டில் ஈதர் சோடியம் சிஏஎஸ் 182410-00-0
டி.எம்.எஃப் பெட்டடெக்ஸ் சல்போபியூட்டில் ஈதர் சோடியம் 182410-00-0