தொழில் செய்திகள்

கரைதிறன் மற்றும் நிலைப்புத்தன்மை மேம்பாட்டிற்கான சைக்ளோடெக்ஸ்ட்ரின் அடிப்படையிலான தீர்வுகள்

கரைதிறன் மற்றும் நிலைப்புத்தன்மை மேம்பாட்டிற்கான சைக்ளோடெக்ஸ்ட்ரின் அடிப்படையிலான தீர்வுகள்

Hydroxypropyl Betadex மற்றும் Betadex Sulfobutyl Ether Sodium இன் தொழில்நுட்ப கண்ணோட்டம்

மோசமாக கரையக்கூடிய அல்லது வேதியியல் உணர்திறன் கொண்ட சேர்மங்களின் கரைதிறன் மற்றும் நிலைத்தன்மையை மேம்படுத்தும் திறனுக்காக சைக்ளோடெக்ஸ்ட்ரின்கள் பரவலாக அங்கீகரிக்கப்பட்டுள்ளன. அவற்றின் தனித்துவமான சுழற்சி மூலக்கூறு அமைப்பு காரணமாக, சைக்ளோடெக்ஸ்ட்ரின்கள் மற்றும் அவற்றின் வழித்தோன்றல்கள் மருந்து, இரசாயன மற்றும் தொடர்புடைய உருவாக்கம் துறைகளில் முக்கியமான செயல்பாட்டு துணைப் பொருட்களாக மாறியுள்ளன. அதிகரித்து வரும் தொழில்நுட்ப மற்றும் ஒழுங்குமுறை தேவைகளுக்கு பதிலளிக்கும் விதமாக, Xi'an Deli Biochemical அதன் முக்கிய சைக்ளோடெக்ஸ்ட்ரின் வழித்தோன்றல்களுக்கான தொழில்நுட்ப ஆவணங்கள் மற்றும் தயாரிப்பு ஆதரவை மேலும் செம்மைப்படுத்தியுள்ளது:ஹைட்ராக்ஸிப்ரோபில் பீடாடெக்ஸ் (HPBCD) மற்றும் பீட்டாடெக்ஸ் சல்போபியூட்டில் ஈதர் சோடியம் (SBECD).


சைக்ளோடெக்ஸ்ட்ரின்களின் கட்டமைப்பு பண்புகள் மற்றும் செயல்பாட்டு செயல்திறன்

சைக்ளோடெக்ஸ்ட்ரின்கள் α-1,4 கிளைகோசிடிக் பிணைப்புகளால் இணைக்கப்பட்ட குளுக்கோஸ் அலகுகளால் ஆன சுழற்சி ஒலிகோசாக்கரைடுகள் ஆகும். அவற்றின் மூலக்கூறு கட்டமைப்பு ஒரு ஹைட்ரோஃபிலிக் வெளிப்புற மேற்பரப்பு மற்றும் ஒப்பீட்டளவில் ஹைட்ரோபோபிக் உள் குழி ஆகியவற்றைக் கொண்டுள்ளது, இது பரந்த அளவிலான விருந்தினர் மூலக்கூறுகளுடன் சேர்க்கை வளாகங்களை உருவாக்க உதவுகிறது. சைக்ளோடெக்ஸ்ட்ரின் கட்டமைப்பின் இரசாயன மாற்றமானது அக்வஸ் கரைதிறனை கணிசமாக மேம்படுத்தலாம் மற்றும் பயன்பாட்டு பல்திறனை விரிவுபடுத்துகிறது.


ஹைட்ராக்ஸிப்ரோபில் பீட்டாடெக்ஸ் (HPBCD)


Hydroxypropyl betadex என்பது வேதியியல் ரீதியாக மாற்றியமைக்கப்பட்ட β-சைக்ளோடெக்ஸ்ட்ரின் ஆகும், இது சொந்த சைக்ளோடெக்ஸ்ட்ரின்களின் வரையறுக்கப்பட்ட கரைதிறனைக் கடக்க வடிவமைக்கப்பட்டுள்ளது. அதன் மேம்படுத்தப்பட்ட நீர் கரைதிறன் மற்றும் சாதகமான இணக்கத்தன்மை HPBCDயை பல்வேறு அமைப்புகளில் பயனுள்ள கரைதிறன், நிலைப்படுத்தல் மற்றும் உருவாக்குதல் நெகிழ்வுத்தன்மை தேவைப்படும் பயன்பாடுகளுக்கு ஏற்றதாக ஆக்குகிறது.


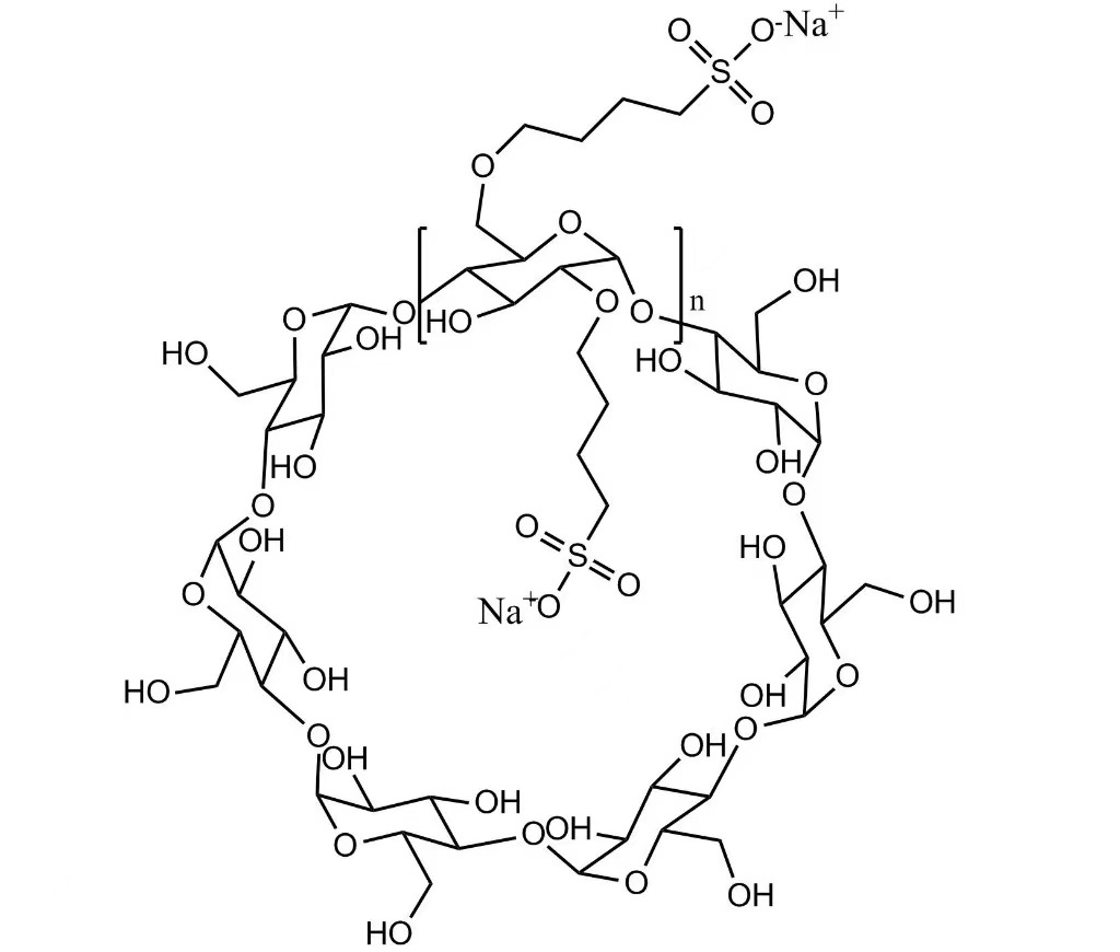
Betadex Sulfobutyl ஈதர் சோடியம் (SBECD)


Betadex sulfobutyl ஈதர் சோடியம் என்பது ஒரு அயோனிக் சைக்ளோடெக்ஸ்ட்ரின் வழித்தோன்றல் ஆகும், இது சல்போபியூட்டில் ஈதர் மாற்றுகளால் வகைப்படுத்தப்படுகிறது. இந்த அமைப்பு குறிப்பிட்ட சேர்மங்களுடனான மின்னியல் தொடர்புகளை மேம்படுத்துகிறது, மேம்படுத்தப்பட்ட கரைதிறன், சிக்கலான நிலைத்தன்மை மற்றும் அதிக தேவைப்படும் பயன்பாடுகளில் உருவாக்குதல் வலிமை ஆகியவற்றை ஆதரிக்கிறது.

தரப்படுத்தப்பட்ட தயாரிப்பு தகவல் மற்றும் தொழில்நுட்ப ஆதரவு

உருவாக்கம் மேம்பாடு, தர மதிப்பீடு மற்றும் கொள்முதல் செயல்முறைகளை சிறப்பாக ஆதரிக்க, Xi'an Deli Biochemical ஆனது HPBCD மற்றும் SBECDக்கான தயாரிப்புத் தகவலை முறையாகப் புதுப்பித்துள்ளது.


  • தெளிவாக வரையறுக்கப்பட்ட மற்றும் தரப்படுத்தப்பட்ட தயாரிப்பு விவரக்குறிப்புகள் மற்றும் பகுப்பாய்வு அளவுருக்கள்
  • கண்டறிதல் மற்றும் தரச் சரிபார்ப்பை உறுதிசெய்ய, பகுப்பாய்வுக்கான தொகுதி-குறிப்பிட்ட சான்றிதழ்கள் (COA)
  • கையாளுதல், சேமிப்பகம் மற்றும் வழக்கமான பயன்பாட்டுக் கருத்தாய்வுகளைக் குறிக்கும் விரிவாக்கப்பட்ட தொழில்நுட்ப FAQகள்
  • திறமையான தொழில்நுட்ப மதிப்பாய்வு மற்றும் தேர்வை எளிதாக்க வடிவமைக்கப்பட்ட உகந்த தயாரிப்பு சுருக்கங்கள்


இந்த மேம்பாடுகள் வெளிப்படைத்தன்மையை மேம்படுத்துதல், மதிப்பீட்டு காலக்கெடுவைக் குறைத்தல் மற்றும் விநியோக சுழற்சி முழுவதும் நிலையான தயாரிப்பு செயல்திறனை ஆதரிப்பதாகும்.


உற்பத்தி அனுபவம் மற்றும் தர உத்தரவாதம்

1999 இல் நிறுவப்பட்ட Xi'an Deli Biochemical, cyclodextrin derivatives தயாரிப்பில் 26 வருட அனுபவத்தைக் கொண்டு வருகிறது. நிறுவனம் ஹைட்ராக்ஸிபிரோபில் பீடாடெக்ஸ் மற்றும் பீட்டாடெக்ஸ் சல்போபியூட்டில் ஈதர் சோடியம் ஆகியவற்றின் கட்டுப்படுத்தப்பட்ட உற்பத்தியில் கவனம் செலுத்துகிறது, செயல்முறை நிலைத்தன்மை, தொகுதிக்கு-தொகுதி நம்பகத்தன்மை மற்றும் நீண்ட கால விநியோக நிலைத்தன்மை ஆகியவற்றை வலியுறுத்துகிறது. கட்டமைக்கப்பட்ட தர மேலாண்மை நடைமுறைகள் வாடிக்கையாளர்களின் தொழில்நுட்ப, ஒழுங்குமுறை மற்றும் ஆதார தேவைகளை ஆதரிக்கின்றன.


விண்ணப்ப நோக்கம் மற்றும் தொழில்நுட்ப ஒத்துழைப்பு

சைக்ளோடெக்ஸ்ட்ரின் சேர்ப்பு மற்றும் நிலைப்படுத்தல் வழிமுறைகளின் அடிப்படையில், HPBCD மற்றும் SBECD ஆகியவை மருந்துகள் தொடர்பான சூத்திரங்கள், சிறப்பு இரசாயனங்கள், கால்நடை தயாரிப்புகள் மற்றும் மேம்படுத்தப்பட்ட கரைதிறன் மற்றும் நிலைத்தன்மை தேவைப்படும் பிற அமைப்புகள் உட்பட பல தொழில்நுட்ப துறைகளில் பொருந்தும். Xi'an Deli Biochemical ஆனது, உருவாக்கப்படும் உருவாக்கத் தேவைகளை ஆதரிப்பதற்காக பயன்பாட்டு-மையப்படுத்தப்பட்ட தொடர்பு மற்றும் தொழில்நுட்ப ஒத்துழைப்பு மூலம் கூட்டாளர்களுடன் தொடர்ந்து ஈடுபடுகிறது.


Xi'an Deli உயிர்வேதியியல் தொழில் நிறுவனங்கள் பற்றி

1999 இல் நிறுவப்பட்ட, Xi'an Deli உயிர்வேதியியல் தொழில் நிறுவனங்கள், சைக்ளோடெக்ஸ்ட்ரின் வழித்தோன்றல்களின் ஒரு சிறப்பு உற்பத்தியாளர் ஆகும், இது உலகளாவிய வாடிக்கையாளர்களுக்கு ஹைட்ராக்ஸிப்ரோபில் பீட்டாடெக்ஸ் (HPBCD) மற்றும் பீட்டாடெக்ஸ் சல்போபியூட்டில் ஈதர் சோடியம் (SBECD) ஆகியவற்றை வழங்குகிறது. தயாரிப்பு நிலைத்தன்மை, தெளிவான விவரக்குறிப்புகள் மற்றும் நடைமுறை தொழில்நுட்ப ஆதரவு ஆகியவற்றில் நீண்டகால கவனம் செலுத்துவதன் மூலம், நிறுவனம் நம்பகமான சைக்ளோடெக்ஸ்ட்ரின் அடிப்படையிலான தீர்வுகளை வழங்குவதில் உறுதியாக உள்ளது.


நீங்கள் விரும்பினால், நானும் முடியும்:


  • Google SEO க்கு இதை மேலும் மேம்படுத்தவும் (தொழில்நுட்ப தொனியை குறைக்காமல்)
  • அதை ஒரு தயாரிப்பு பக்க "தொழில்நுட்ப புதுப்பிப்பு" பதிப்பில் சுருக்கவும்
  • ஒழுங்குமுறை / தரத்தை மையமாகக் கொண்ட வாடிக்கையாளர்களுக்கு அதை மாற்றியமைக்கவும்


அதை எங்கு வெளியிட திட்டமிட்டுள்ளீர்கள் என்பதை மட்டும் சொல்லுங்கள்.


விசாரணையை அனுப்பு


icon
X
உங்களுக்கு சிறந்த உலாவல் அனுபவத்தை வழங்கவும், தள போக்குவரத்தை பகுப்பாய்வு செய்யவும் மற்றும் உள்ளடக்கத்தைத் தனிப்பயனாக்கவும் நாங்கள் குக்கீகளைப் பயன்படுத்துகிறோம். இந்தத் தளத்தைப் பயன்படுத்துவதன் மூலம், எங்கள் குக்கீகளைப் பயன்படுத்துவதை ஒப்புக்கொள்கிறீர்கள். தனியுரிமைக் கொள்கை
நிராகரிக்கவும் ஏற்றுக்கொள்