X
IMG
VIDEO

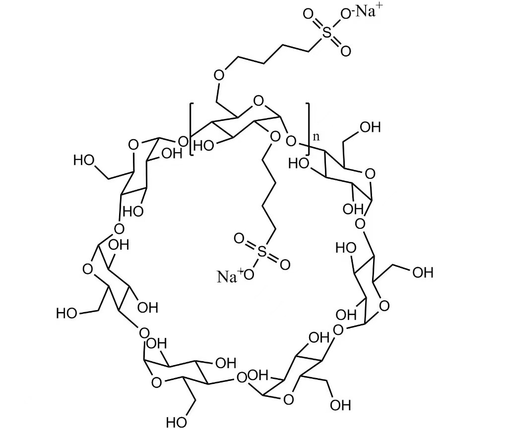
SBE-β-CD Sulfobutylether Beta Cyclodextrin சோடியம் ஊசி மருந்து துணை

மொத்த விற்பனை SBE-β-CD Sulfobutylether Beta Cyclodextrin Sodium Injectable Pharmaceutical Excipient சீனாவில் DELI இலிருந்து தயாரிக்கப்பட்டது. SBE-β-CD (Sulfobutylether Beta Cyclodextrin Sodium) என்பது மிகவும் நீரில் கரையக்கூடிய ஊசி மருந்துகளின் துணைப் பொருளாகும்

விசாரணையை அனுப்பு

தயாரிப்பு விளக்கம்


SBE-β-CD Sulfobutylether Beta Cyclodextrin சோடியம் ஊசி மருந்து துணை

SBE-β-CD (Sulfobutylether Beta Cyclodextrin Sodium) என்பது மிகவும் நீரில் கரையக்கூடிய, அயோனிக் β-சைக்ளோடெக்ஸ்ட்ரின் வழித்தோன்றலாக, ஊசி மருந்துப் பயன்பாடுகளுக்காக வடிவமைக்கப்பட்டுள்ளது. இது செயலில் உள்ள மருந்து பொருட்கள் (API கள்) கொண்ட நிலையான, கோவலன்ட் அல்லாத சேர்க்கை வளாகங்களை உருவாக்குகிறது, இது மோசமாக நீரில் கரையக்கூடிய மருந்துகளின் கரைதிறன், நிலைத்தன்மை மற்றும் பாதுகாப்பை கணிசமாக மேம்படுத்துகிறது.

அதன் சிறந்த உயிர் இணக்கத்தன்மை, குறைந்த ஹீமோலிடிக் செயல்பாடு மற்றும் கட்டுப்படுத்தப்பட்ட நச்சுத்தன்மையின் காரணமாக, SBE-β-CD பல சிகிச்சைப் பகுதிகளில் உள்ள பெற்றோர் மருந்து விநியோக அமைப்புகளில் பரவலாகப் பயன்படுத்தப்படுகிறது.


முக்கிய நன்மைகள்


SBE-β-CD ஆனது ஹைட்ரோபோபிக் APIகளின் நீர் கரைதிறனை மேம்படுத்துகிறது, அதே சமயம் ஃபார்முலேஷன் பாதுகாப்பைப் பராமரிக்கிறது. பாரம்பரிய கரைக்கும் முகவர்களுடன் ஒப்பிடுகையில், இது சிறுநீரக நச்சுத்தன்மையை குறைக்கிறது மற்றும் ஊசி போடும் இடங்களில் குறைந்த எரிச்சலைக் காட்டுகிறது, இது மீண்டும் மீண்டும் பெற்றோர் நிர்வாகத்திற்கு ஏற்றதாக அமைகிறது.


மருந்து பயன்பாடுகள்


SBE-β-CD முதன்மையாக உட்செலுத்தக்கூடிய மற்றும் மலட்டுச் சூத்திரங்களில் பயன்படுத்தப்படுகிறது, இதில் நரம்பு, தசைநார் மற்றும் தோலடி அளவு வடிவங்கள் அடங்கும். இது பொதுவாக ஆன்டிவைரல், பூஞ்சை எதிர்ப்பு, புற்றுநோயியல் மற்றும் இருதய மருந்து தயாரிப்புகளில் பயன்படுத்தப்படுகிறது, அங்கு அதிக கரைதிறன் மற்றும் உருவாக்கம் நிலைத்தன்மை மிகவும் முக்கியமானது.


தயாரிப்பு விவரக்குறிப்புகள்


வேதியியல் பெயர் சல்போபியூட்டிலெதர் பீட்டா சைக்ளோடெக்ஸ்ட்ரின் சோடியம்
CAS எண். 182410-00-0
தோற்றம் வெள்ளை நிறத்தில் இருந்து வெள்ளை நிறத்தில் உள்ள வடிவமற்ற தூள்
தரம் ஊசி மருந்து துணை மருந்து
கரைதிறன் தண்ணீரில் சுதந்திரமாக கரையக்கூடியது
மதிப்பீடு 95.0% - 105.0% (நீரற்ற அடிப்படை)
மாற்றீட்டின் சராசரி பட்டம் (DS) 6.2 - 6.9
பாக்டீரியா எண்டோடாக்சின்கள் ≤ 10 EU/g
தரநிலைகள் USP / EP
அடுக்கு வாழ்க்கை 36 மாதங்கள்


பேக்கேஜிங் விவரக்குறிப்புகள்


கிடைக்கும் பேக்கேஜிங் விருப்பங்களில் 500 கிராம்/பை, 1 கிலோ/பை, 10 கிலோ/பை மற்றும் 10 கிலோ/டிரம் ஆகியவை அடங்கும். வணிக விநியோகத்திற்கான கோரிக்கையின் பேரில் தனிப்பயனாக்கப்பட்ட பேக்கேஜிங் கிடைக்கிறது.


தர உத்தரவாதம்


SBE-β-CD இன் அனைத்து தொகுதிகளும் கடுமையான தர மேலாண்மை அமைப்பின் கீழ் தயாரிக்கப்பட்டு விரிவான பகுப்பாய்வு சோதனைக்கு உட்படுத்தப்படுகின்றன. அசுத்தங்கள், எண்டோடாக்சின்கள், மாற்று அளவு மற்றும் தொகுதிக்கு தொகுதி நிலைத்தன்மை போன்ற முக்கிய தர அளவுருக்கள் இறுக்கமாக கட்டுப்படுத்தப்படுகின்றன.

ஒவ்வொரு கப்பலுக்கும் முழு கண்காணிப்பு மற்றும் ஒழுங்குமுறை இணக்கத்தை உறுதிப்படுத்த பகுப்பாய்வு சான்றிதழ் (COA) உள்ளது.


நிறுவனத்தின் தகுதிகள் & சான்றிதழ்கள்


Xi'an Deli Biochemical Industry Co., Ltd என்பது சைக்ளோடெக்ஸ்ட்ரின்கள் மற்றும் அவற்றின் வழித்தோன்றல்களின் ஆராய்ச்சி, மேம்பாடு மற்றும் உற்பத்தியில் நிபுணத்துவம் பெற்ற ஒரு உயர் தொழில்நுட்ப நிறுவனமாகும். 1999 இல் நிறுவப்பட்ட இந்த நிறுவனம் 26 ஆண்டுகளுக்கும் மேலான தொழில் அனுபவத்தைக் கொண்டுள்ளது.

நிறுவனம் கட்டுப்படுத்தப்பட்ட சுத்தமான உற்பத்திப் பகுதிகளுடன் பிரத்யேக மருந்து உற்பத்திப் பொருட்களை இயக்குகிறது. அதன் தர மேலாண்மை அமைப்பு ISO 9001 சான்றிதழைப் பெற்றுள்ளது, மேலும் முக்கிய தயாரிப்புகள் FDA உட்பட தொடர்புடைய ஒழுங்குமுறை அதிகாரிகளிடம் பதிவு செய்யப்படுகின்றன அல்லது தாக்கல் செய்யப்படுகின்றன.


உற்பத்தி திறன்


Xi'an Deli Biochemical ஆனது SBE-β-CDக்கான பெரிய அளவிலான வணிக உற்பத்தி திறனை நிறுவியுள்ளது, இது உலகளாவிய மருந்து வாடிக்கையாளர்களுக்கு நம்பகமான நீண்ட கால விநியோகத்தை உறுதி செய்கிறது.

ஆண்டு உற்பத்தி திறன் 200 மெட்ரிக் டன்களை தாண்டியது, ஒரு வழக்கமான தொகுதி அளவு தோராயமாக 2.5 மெட்ரிக் டன்கள்.


அடிக்கடி கேட்கப்படும் கேள்விகள்

Q1: உட்செலுத்தக்கூடிய சூத்திரங்களில் SBE-β-CD இன் முக்கிய செயல்பாடு என்ன?
A: SBE-β-CD முதன்மையாக ஒரு கரைப்பான் மற்றும் நிலைப்படுத்தியாக செயல்படுகிறது, மீளக்கூடிய சேர்க்கை சிக்கலான உருவாக்கம் மூலம் மோசமாக நீரில் கரையக்கூடிய APIகளின் நீர் கரைதிறன் மற்றும் பாதுகாப்பை மேம்படுத்துகிறது.


Q2: SBE-β-CD மீண்டும் மீண்டும் நரம்புவழி நிர்வாகத்திற்கு ஏற்றதா?
ப: ஆம். SBE-β-CD பாரம்பரிய கரைக்கும் முகவர்களுடன் ஒப்பிடும்போது குறைந்த ஹீமோலிடிக் செயல்பாடு மற்றும் குறைக்கப்பட்ட சிறுநீரக நச்சுத்தன்மையை நிரூபிக்கிறது, இது மீண்டும் மீண்டும் பெற்றோர் பயன்பாட்டிற்கு ஏற்றது.


Q3: உங்கள் தயாரிப்பு மருந்தியல் தரநிலைகளுடன் இணங்குகிறதா?
A: எங்கள் SBE-β-CD USP மற்றும் EP தேவைகளுக்கு இணங்குகிறது மற்றும் சான்றளிக்கப்பட்ட தர மேலாண்மை அமைப்பின் கீழ் தயாரிக்கப்படுகிறது.


Q4: தொழில்நுட்ப ஆவணங்களை வழங்க முடியுமா?
ப: ஆம். COA, விவரக்குறிப்புகள் மற்றும் தொழில்நுட்ப தரவு கோரிக்கையின் பேரில் கிடைக்கும்.



சூடான குறிச்சொற்கள்: SBE-β-CD Sulfobutylether Beta Cyclodextrin சோடியம் ஊசி மருந்து துணைப் பொருள், உற்பத்தியாளர்கள், சப்ளையர்கள், சீனா, தொழிற்சாலை, மொத்தமாக, இலவச மாதிரி, சீனாவில் தயாரிக்கப்பட்டது, கையிருப்பில், மொத்த விற்பனை, வாங்குதல்

தொடர்புடைய வகை

விசாரணையை அனுப்பு

தயவுசெய்து உங்கள் விசாரணையை கீழே உள்ள படிவத்தில் கொடுக்க தயங்க வேண்டாம். நாங்கள் உங்களுக்கு 24 மணி நேரத்தில் பதிலளிப்போம்.
icon
X
உங்களுக்கு சிறந்த உலாவல் அனுபவத்தை வழங்கவும், தள போக்குவரத்தை பகுப்பாய்வு செய்யவும் மற்றும் உள்ளடக்கத்தைத் தனிப்பயனாக்கவும் நாங்கள் குக்கீகளைப் பயன்படுத்துகிறோம். இந்தத் தளத்தைப் பயன்படுத்துவதன் மூலம், எங்கள் குக்கீகளைப் பயன்படுத்துவதை ஒப்புக்கொள்கிறீர்கள். தனியுரிமைக் கொள்கை
நிராகரிக்கவும் ஏற்றுக்கொள்